格力中央空調CCE離心機系列
一、產品概述
1、產品定義
格力中央空調CCE系列磁懸浮變頻離心機組為格力自主研發采用磁懸浮軸承技術的永磁同步變頻離心式冷水機組,冷量范圍100RT-1300RT。永磁同步電機、雙級補氣、電機直驅葉輪、四象限變頻等多項技術的應用,提升了機組的節能性。同時,采用了磁懸浮軸承替代傳統的機械軸承,實現了制冷系統無油運行,避免了復雜的潤滑油系統,進一步提升性能。可靠的工業級微機控制系統,群控技術及樓宇通訊接口,保證了機組優良的操作性能。該機組可廣泛用于酒店、會所、寫字樓等場所的空調系統,特別適合用于大型冷水機組的改造項目。



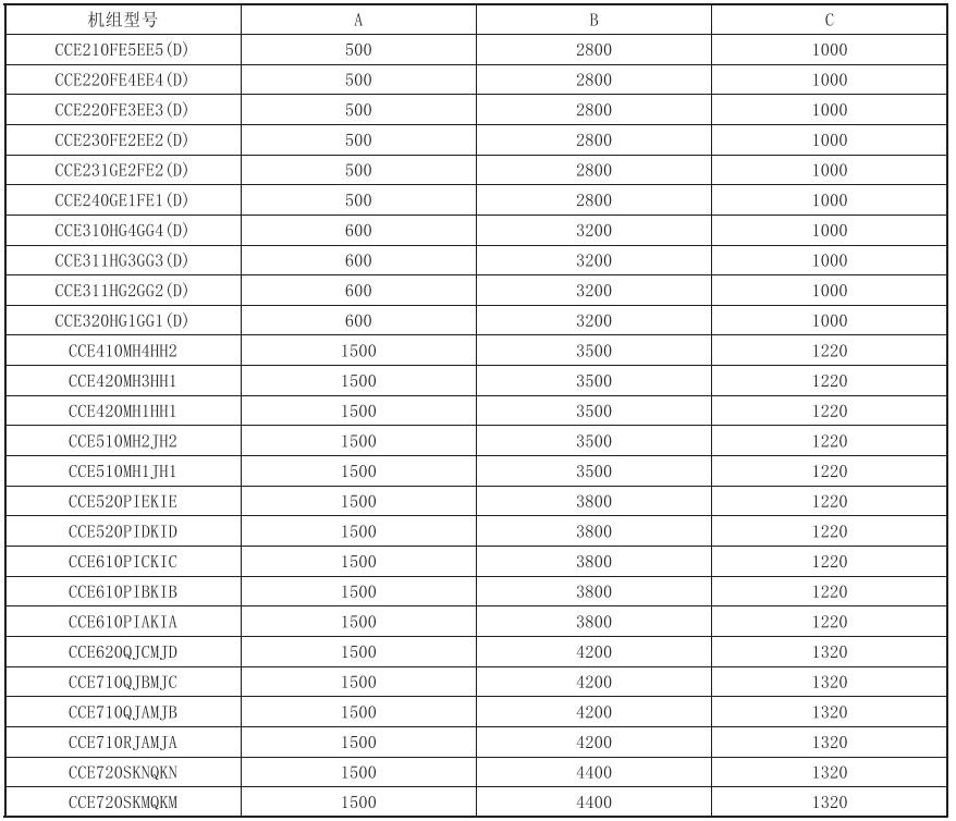
CCE210FE5EE5(D)
CCE220FE4EE4(D)
CCE220FE3EE3(D)
CCE230FE2EE2(D)
CCE231GE2FE2(D)
CCE240GE1FE1(D)
CCE310HG4GG4(D)
CCE311HG3GG3(D)
CCE311HG2GG2(D)
CCE320HG1GG1(D)
CCE410MH4HH2
CCE420MH3HH1
CCE420MH1HH1
CCE510MH2JH2
CCE510MH1JH1
CCE520PIEKIE
CCE520PIDKID
CCE61OPICKIC
CCE610PIBKIB
CCE61OPIAKIA
CCE620QJCMID
CCE710QJBMJC
CCE710QJAMJB
CCE710RJAMJA
CCE720SKNQKN
CCE720SKMQKM
CCE210FE5EE5(D)
CCE220FE4EE4(D)
CCE220FE3EE3(D)
CCE230FE2EE2(D)
CCE231GE2FE2(D)
CCE240GE1FE1(D)
CCE310HG4GG4(D)
CCE311HG3GG3(D)
CCE311HG2GG2(D)
CCE320HG1GG1(D)
CCE410MH4HH2
CCE420MH3HH1
CCE420MH1HH1







CCE210FE5EE5(D)
CCE220FE4EE4(D)
CCE220FE3EE3(D)
CCE230FE2EE2(D)
CCE231GE2FE2(D)
CCE240GE1FE1(D)
CCE310HG4GG4(D)
CCE311HG3GG3(D)
CCE311HG2GG2(D)
CCE320HG1GG1(D)
CCE410MH4HH2
CCE420MH3HH1
CCE420MH1HH1
CCE510MH2JH2
CCE510MH1JH1
CCE520PIEKIE
CCE520PIDKID
CCE610PICKIC
CCE610PIBKIB
CCE610PIAKIA
CCE620QJCMJD
CCE710QJBMJC
CCE710QJAMJB
CCE710RJAMJA
CCE720SKNQKN
CCE720SKMQKM





以上是武漢格力中央空調提供的格力離心機技術參數

咨詢熱線: